Keputusan desain jaringan
- - Peran Fasilitas
Peran apa, apa prosesnya?
- - Fasilitas Lokasi
Dimana fasilitas harus diletakan?
- - Alokasi Kapasitas
Berapa kapasitas setiap Fasilitas?
- - Pasar dan Alokasi Pasokan
Pasar apa? Sumber yang di pasok?
Faktor-faktor yang mempengaruhi
keputusan desain jaringan, antara lain :
- 1. Faktor-faktor yang strategis
- 2. Faktor teknologi
- 3. Faktor-faktor ekonomi makro
a.
Tarif dan insentif pajak
b.
Nilai risiko pertukaran dan permintaan
c.
Pengiriman dan biaya bahan bakar
- 4. Politik
- 5. Faktor-faktor infrastruktur
- 6. Faktor-faktor yang kompetitif
a.
Eksternalitas positif antara perusahaan
Semua alokasi dimanfaatkan
b.
Mencari untuk membagi pasar
Mencari untuk menangkap pangsa pasar terbesar
- 7. Waktu respon pelanggan dan kehadiran lokal
- 8. Biaya logistik dan fasilitas
KERANGKA KEPUTUSAN DESAIN JARINGAN
Fase I: Menentukan strategi / desain
rantai pasokan, meliputi :
- - Definisi yang jelas tentang strategi yang kompetitif perusahaan
- - Ramalan evolusi persaingan global
- - Mengidentifikasi kendala pada modal yang tersedia
- Menentukan strategi pertumbuhan
Fase II: Menentukan konfigurasi
fasilitas Regional, yaitu :
- - Perkiraan permintaan oleh negara atau wilayah
- - Skala Ekonomi atau cakupan
- - Mengidentifikasi resiko permintaan, risiko nilai tukar, risiko politik,
tarif, persyaratan untuk
produksi lokal, insentif, pajak dan ekspor atau
pembatasan impor
- - Mengidentifikasi pesaing
Fase III: Memilih satu Set situs
potensial yang diinginkan
- - Persyaratan infrastruktur keras
- - Persyaratan infrastruktur lembut
Tahap I : Model untuk fasilitas
lokasi dan alokasi kapasitas
- - Memaksimalkan seluruh keuntungan dari jaringan rantai pasokan sambil
menyediakan pelanggan
dengan respon sesuai
- - Banyak perdagangan selama desain jaringan
- - Model desain jaringan yang digunakan untuk menentukan lokasi dan kapasitas dalam
menetapkan
permintaan saat ini sesuai fasilitas
- - Informasi penting, antara lain :
a.
Lokasi sumber pasokan dan pasar
b.
Lokasi situs fasilitas potensial
c.
Permintaan ramalan pasar
d.
Fasilitas, tenaga kerja dan biaya bahan situs
e.
Biaya transportasi antara setiap pemasangan situs
f.
Biaya persediaan situs dan sebagai fungsi dari jumlah
g.
Harga Jual Produk di berbagai daerah
h.
Pajak dan TARIF
i.
Respons waktu masukkan dan faktor Layanan lainnya
Tahap II: Model Optimasi Jaringan
Model lokasi Tanaman capacitated
m = jumlah pasar atau poin permintaan
Dj = tahunan permintaan dari pasar j
Ki = kapasitas potensi tanaman i
fi = tahunan biaya tetap menjaga tanaman saya
membuka
Cij = biaya produksi dan pengiriman
satu unit dari tanaman i
untuk pasar j (termasuk biaya produksi, persediaan,
transportasi, dan tarif)
yi = jika 1 tanaman i buka, 0 sebaliknya
xij = kuantitas dikirim dari tanaman i ke pasar
j
Tahap III: Model Lokasi Gravitasi
xn, yn : mengkoordinasikan lokasi pasar atau pasokan sumber n
Fn : biaya pengiriman satu unit untuk satu
mil antara fasilitas dan pasar atau pasokan
sumber n
Dn : kuantitas untuk dikirim antara
fasilitas dan pasar atau pasokan sumber n
(x, y) merupakan lokasi yang dipilih untuk fasilitas, jarak dn antara
fasilitas dan lokasi (x, y) dan
sumber pasokan atau diberikan oleh pasar n
1 1. Masing-masing sumber pasokan atau pasar n, mengevaluasi dn
2 2. Mendapatkan lokasi baru (x', y') untuk fasilitas, dimana :
3 3. Jika lokasi baru (x', y') adalah hampir sama (x, y) berhenti. Sebaliknya,
mengatur (x, y) = (x', y')
dan menuju ke langkah 1
Tahap IV: Model Optimasi Jaringan
Mengalokasikan permintaan untuk fasilitas produksi
n =
jumlah lokasi pabrik
m =
jumlah pasar atau poin permintaan
Dj =
permintaan tahunan dari pasar j
Ki = kapasitas pabrik i
cij = biaya produksi dan pengiriman
satu unit dari pabrik i untuk pasar j
xij = kuantitas dikirim dari pabrik i
ke pasar j
Model Lokasi Tanaman Capacitated
- - Penggabungan perusahaan
- - Memecahkan menggunakan biaya lokasi tertentu
xi = jika 1 pabrik i terbuka, 0
sebaliknya
xij = kuantitas dikirim dari pabrik i ke
pasar j
![]() |
| Add caption |
Kapasitas Model dengan sumber
tungal
- Pasar yang disediakan oleh hanya satu pabrik
- - Mengubah keputusan variabel
yi = 1 jika pabrik i terbuka, 0
sebaliknya
xij = 1 jika
pasar j disediakan oleh pabrik i, 0 sebaliknya
Mencari tanaman dan gudang secara
bersamaan
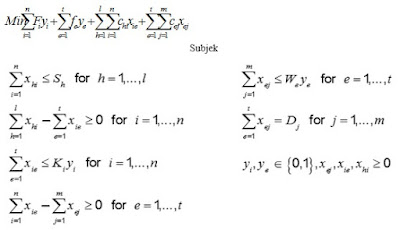
Model masukan
m =
jumlah pasar atau poin permintaan
n =
jumlah potensi lokasi pabrik
l =
jumlah pemasok
t =
jumlah potensi lokasi gudang
Dj = permintaan tahunan dari pelanggan
j
Ki = potensi kapasitas pabrik di situs
i
Sh = menyediakan kapasitas pemasok h
We = kapasitas gudang potensial di
situs e
Fi = mencari biaya tetap tanaman di
situs i
fe = menemukan biaya tetap sebesar
sebuah gudang di situs e
Chi = biaya pengiriman satu unit dari
sumber pasokan h ke pabrik i
Cie = biaya produksi dan pengiriman
satu unit dari pabrik i untuk gudang e
Cei = biaya pengiriman satu unit dari
gudang e untuk pelanggan j
Tujuannya ialah mengidentifikasi lokasi pabrik dan gudang dari jumlah yang
dikirim untuk
meminimalkan total tetap dan biaya variabel
Yi = jika 1 pabrik terletak di situs i,
0 sebaliknya
Ye = jika 1gudang terletak di situs e,
0 sebaliknya
Xej = kuantitas yang dikirim dari
gudang e untuk memasarkan j
Xie = kuantitas dikirim dari pabrik di
situs i ke gudang e
Xhi = kuantitas dikirim dari pemasok h
ke pabrik di situs
Akuntansi pajak, tarif, dan
kebutuhan pelanggan
- - Jaringan rantai pasok harus memaksimalkan keuntungan setelah tarif dan
pajak sementara
memenuhi persyaratan layanan pelanggan
- Diubah tujuan dan kendala
Membuat keputusan dalam praktek desain
jaringan
- Jangan meremehkan lamannya Fasilitas
- - Tidak mengabaikan implikasi budaya
- - Jangan mengabaikan masalah kualitas-of-hidup
- Fokus pada tarif dan insentif pajak ketika mencari fasilitas



















